CAS:192268-64-7
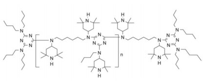
中文别名: N,N'-双(2,2,6,6-四甲基-4-哌啶基)-1,6-己二胺与 2,4,6-三氯-1,3,5-三嗪和 N-丁基-1-丁胺和 N-丁基-2,2,6,6-四甲基-4-哌啶胺的反应产物的聚合物;
分子量:2600-3400g/mol
外观:透明、淡黄色颗粒
挥发性(纯物质;TGA数据,加热速率10℃/分钟,空气中)
它是高分子量的受阻胺光稳定剂(HALS)。它在聚合物中表现出优异的相容性和抗萃取性。特点之一是分子量分布非常窄,这使得在加工和使用中表现出一致的效果。Chimassorb2020综合了各种高分子量HALS的优点。它为聚合物提供较高的光/热稳定性,同时改善其辅助性质,如增强颜料的色度。
它把非常高的光稳定性和长效热稳定性与其它辅助性质(如颜色干扰最小,改善熔体流动速率控制)完美地结合在一起。它对PP纤维、PP窄带、PE薄膜、PP和PE厚制品提供优异的光稳定性。它还对填充PP制品和碳黑填充体系表现出独特的长效热稳定性。
纤维 PP的光稳定和热稳定 0.1 – 1.0%
窄带 PP和HDPE的光/热稳定 0.2 – 0.8%
厚制品 PP、HDPE、LDPE、LLDPE的光/热稳定 0.1- 0.6%
薄膜 LDPE、LLDPE、EVA、EBA的光/热稳定 0.1-1.0%
对不着色或轻度着色的制品,以及为了改善某种有机颜料的色牢度,推荐与紫外线吸收剂共用(如-UV-327/328和UV-81)等
